Fundo a Fundo Editais Municipais Ciclo 2025: conheça os municípios capixabas aptos a receber os recursos
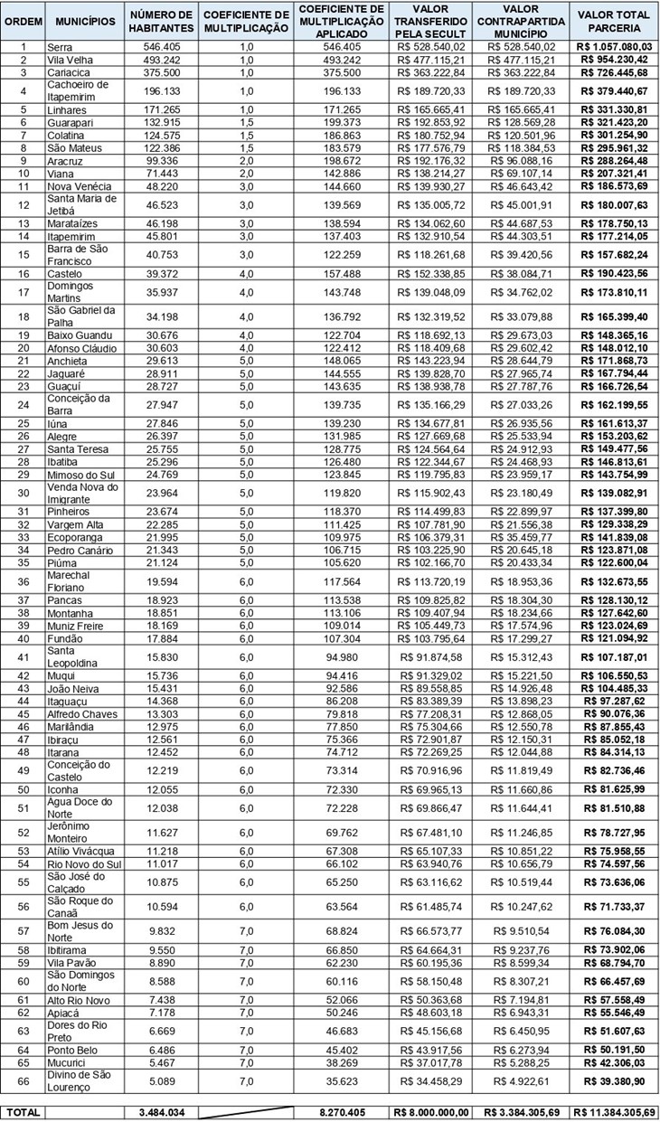
A Secretaria da Cultura (Secult) divulgou, nesta sexta-feira (23), os 66 municípios que estão aptos a receber os recursos do Programa de Coinvestimento da Cultura – Fundo a Fundo Editais Municipais, Ciclo 2025. Para este ano, foram destinados R$ 8 milhões, via recursos estaduais, que, somados ao coinvestimento municipal, este com previsão de 3.3 milhões, vão alcançar o volume total de, aproximadamente, R$ 11, 3 milhões.
Em 2026, são 12 municípios a mais em relação ao último ciclo, realizado em 2023, além de um acréscimo de R$ 2 milhões, oriundo dos recursos pelo coinvestimento estadual pela Secult.
Nesta modalidade, os recursos serão destinados para a criação de editais municipais de seleção de projetos ou chamamento públicos, com objetivo de apoiar os artistas locais dos mais diversos segmentos, bem como fomentar o patrimônio imaterial, tendo como base a tridimensionalidade da cultura: cultura como expressão simbólica de um povo, cultura como direito e cidadania e cultura como economia que gere renda e trabalho.
As inscrições para os municípios se habilitarem ocorreram de 14 de novembro a 14 de dezembro de 2025. Ao todo, foram 68 municípios inscritos, dos quais 66 encaminharam os planos de ação e foram habilitados no fim da etapa de habilitação, e estão aptos a receberem os recursos.
Conheça os municípios:
1 AFONSO CLÁUDIO
2 ÁGUA DOCE DO NORTE
3 ALEGRE
4 ALFREDO CHAVES
5 ALTO RIO NOVO
6 ANCHIETA
7 APIACÁ
8 ARACRUZ
9 ATILIO VIVACQUA
10 BAIXO GUANDU
11 BARRA DE SÃO FRANCISCO
12 BOM JESUS DO NORTE
13 CACHOEIRO DE ITAPEMERIM
14 CARIACICA
15 CASTELO
16 COLATINA
17 CONCEIÇÃO DA BARRA
18 CONCEIÇÃO DO CASTELO
19 DIVINO DE SÃO LOURENÇO
20 DOMINGOS MARTINS
21 DORES DO RIO PRETO
22 ECOPORANGA
23 FUNDÃO
24 GUACUI
25 GUARAPARI
26 IBATIBA
27 IBIRAÇU
28 IBITIRAMA
29 ICONHA
30 ITAGUAÇU
31 ITAPEMIRIM
32 ITARANA
33 IÚNA
34 JAGUARÉ
35 JERÔNIMO MONTEIRO
36 JOÃO NEIVA
37 LINHARES
38 MARATAÍZES
39 MARECHAL FLORIANO
40 MARILÂNDIA
41 MIMOSO DO SUL
42 MONTANHA
43 MUCURICI
44 MUNIZ FREIRE
45 MUQUI
46 NOVA VENÉCIA
47 PANCAS
48 PEDRO CANÁRIO
49 PINHEIROS
50 PIÚMA
51 PONTO BELO
52 RIO NOVO DO SUL
53 SANTA LEOPOLDINA
54 SANTA MARIA DE JETIBÁ
55 SANTA TERESA
56 SÃO DOMINGOS DO NORTE
57 SÃO GABRIEL DA PALHA
58 SÃO JOSÉ DOS CALÇADOS
59 SÃO MATEUS
60 SÃO ROQUE DO CANAÃ
61 SERRA
62 VARGEM ALTA
63 VENDA NOVA DO IMIGRANTE
64 VIANA
65 VILA PAVÃO
66 VILA VELHA
Próximas etapas
Todos os municípios habilitados receberam o parecer da fase de habilitação via E-Docs e e-mail. A partir da publicação da Portaria divulgada nesta sexta-feira, os municípios têm três meses para enviar o restante da documentação necessária para celebração, que contém, o Plano de Ação, extrato zerado da conta corrente específica para a parceria, comprovação de que o Plano foi discutido no âmbito do Conselho Municipal de Políticas Culturais e documentos pessoais do prefeito e gestor do Fundo, além de eventuais pendências apontadas no parecer da fase de habilitação.
A fase final consiste na análise e aprovação dos planos de ação por parte da Secult. Aprovado o plano, o município vai assinar o Termo de Responsabilidade e depositar o coinvestimento. Já a Secult repassará os recursos oriundos do programa.
Caso algum gestor municipal esteja com dúvida em relação ao o programa de coinvestimento, a Gerência do Sistema Estadual de Cultura (Gesec) da Secult é necessário entrar em contato pelo e-mail gesec@secult.es.gov.br ou pelo telefone (27) 3636-7112.
Tabela de valores dos recursos:

Programa de Coinvestimento da Cultura – Fundo a Fundo ciclo 2025
O Fundo a Fundo da Cultura é um programa de coinvestimento que transfere para os municípios recursos do Funcultura, com o objetivo de fomentar e incentivar a criação, produção e distribuição de produtos e serviços que usem o conhecimento, a criatividade e o capital intelectual como principais recursos produtivos aos munícipes. Ao todo, foram destinados R$ 48 milhões aos municípios capixabas por meio de três linhas de fomento distintas: Editais Municipais (R$ 8 milhões), Patrimônio Material Tombado, e Espaços Culturais - esta última nova, investimento total previsto nessas duas linhas (Fundo a Fundo Patrimônio Material e Espaços Culturais) é de R$ 40 milhões.
Os Editais Municipais (Fundo a Fundo) destinam recursos à criação de editais municipais de cultura, com foco no fortalecimento de artistas locais, das culturas tradicionais populares e do patrimônio imaterial, considerando a cultura como expressão simbólica, direito de cidadania e atividade econômica.
O eixo de Patrimônio (Fundo a Fundo) prevê a transferência de recursos para a revitalização de bens tombados ou em processo de tombamento, incluindo edificações e sítios históricos, promovendo a preservação integrada do patrimônio cultural. Já o eixo de Espaços Culturais é voltado à celebração de parcerias para projetos, obras e aquisição de equipamentos e mobiliário em espaços culturais municipais integrantes do Sistema de Espaços Culturais, com investimento conjunto previsto de R$ 40 milhões para estas duas linhas, que possibilitam investimento em obras, elaboração de projeto executivo ou aquisição de equipamentos.
Assessoria de Comunicação da Secult
Tati Beling / Danilo Ferraz / Karen Mantovanelli
Telefone: (27) 3636-7110 / 3636-7111
Whatsapp: (27) 99753-7583
secultjornalismo@gmail.com / comunicacao@secult.es.gov.br